PAU Física Catalunya (2001-2023)
Física nuclear
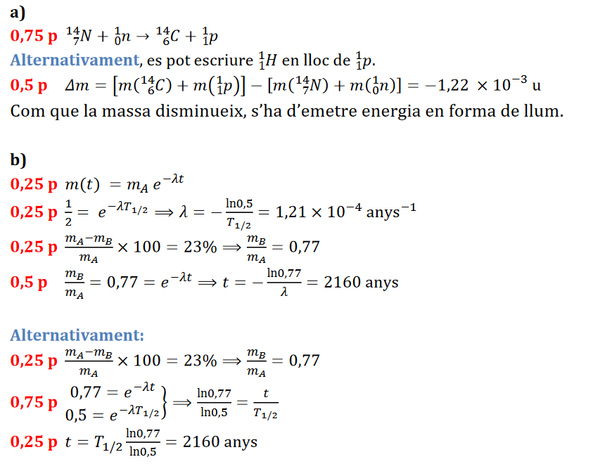
PAU 2023 sèrie 2 problema 6
Enunciat

Pauta

PAU 2023 sèrie 5 problema 5
Enunciat

Pauta

PAU 2023 sèrie 1 problema 4
Enunciat

Pauta

PAU 2022 sèrie 3 problema 5
Enunciat

Pauta

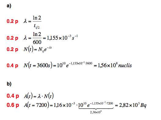
PAU 2022 sèrie 5 problema 8
Enunciat

Pauta

PAU 2022 sèrie 5 problema 5
Enunciat

Pauta

PAU 2022 sèrie 2 problema 5
Enunciat

Pauta

PAU 2021 sèrie 1 problema 4
Enunciat

Pauta

PAU 2021 sèrie 2 problema 5
Enunciat

Pauta

PAU 2021 sèrie 5 problema 4
Enunciat

Pauta

PAU 2020 sèrie 4 problema 5
Enunciat

Pauta

PAU 2020 sèrie 1 problema 5
Enunciat

Pauta

PAU 2020 sèrie 3 problema 5
Enunciat

Pauta

PAU 2019 sèrie 5 opció B problema 5
Enunciat

Pauta

PAU 2019 sèrie 4 opció B problema 3
Enunciat

Pauta

PAU 2019 sèrie 1 opció A problema 5
Enunciat

Pauta

PAU 2018 sèrie 3 opció A problema 5
Enunciat
Pauta
PAU 2018 sèrie 5 problema 2
Enunciat
Pauta
PAU 2018 sèrie 1 opció A problema 5
Enunciat

Pauta

PAU 2017 sèrie 2 opció B problema 3
Enunciat

Pauta

PAU 2017 sèrie 2 opció A problema 4
Enunciat

Pauta

PAU 2017 sèrie 5 opció B problema 3
Enunciat

Pauta

PAU 2017 sèrie 1 opció A problema 5
Enunciat

Pauta

PAU 2017 sèrie 1 opció B problema 5
Enunciat

Pauta

PAU 2016 sèrie 1 opció A problema 5
Enunciat

Pauta

PAU 2016 sèrie 5 opció B problema 4
Enunciat

Pauta

PAU 2016 sèrie 3 opció B problema 4
Enunciat

Pauta

PAU 2015 sèrie 5 opció B problema 3
Enunciat

Pauta

PAU 2015 sèrie 5 opció A problema 3
Enunciat

Pauta

PAU 2015 sèrie 4 problema 2
Enunciat

Pauta

PAU 2015 sèrie 2 opció A problema 5
Enunciat

Pauta

PAU 2014 sèrie 4 opció A problema 3
Enunciat

Pauta

PAU 2014 sèrie 3 opció B problema 3
Enunciat

Pauta

PAU 2013 sèrie 1 opció B problema 3
Enunciat

Pauta

PAU 2013 sèrie 3 opció B problema 3
Enunciat

Pauta

PAU 2013 sèrie 4 opció B problema 4
Enunciat

Pauta

PAU 2013 sèrie 4 opció A problema 4
Enunciat

Pauta

PAU 2012 sèrie 4 problema 2
Enunciat

Pauta

PAU 2012 sèrie 1 opció B problema 4
Enunciat

Pauta

PAU 2012 sèrie 1 opció A problema 3
Enunciat

Pauta

PAU 2012 sèrie 3 problema 2
Enunciat

Pauta

PAU 2011 sèrie 2 opció A problema 5
Enunciat

Pauta

PAU 2011 sèrie 4 opció B problema 4
Enunciat

Pauta

PAU 2011 sèrie 4 opció A problema 5
Enunciat

Pauta

PAU 2011 sèrie 1 opció B problema 3
Enunciat

Pauta

PAU 2010 sèrie 1 opció B problema 3
Enunciat

Pauta

PAU 2010 sèrie 4 problema 2
Enunciat

Pauta

PAU 2010 sèrie 5 problema 2
Enunciat

Pauta
