PAU Física Catalunya (2001-2023)
Camp gravitatori
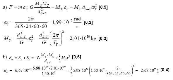
PAU 2023 sèrie 2 problema 1
Enunciat

Pauta

PAU 2023 sèrie 5 problema 1
Enunciat

Pauta

PAU 2023 sèrie 1 problema 1
Enunciat

Pauta

PAU 2022 sèrie 3 problema 1
Enunciat

Pauta

PAU 2022 sèrie 5 problema 1
Enunciat

Pauta

PAU 2022 sèrie 2 problema 1
Enunciat

Pauta

PAU 2022 sèrie 2 problema 6
Enunciat

Pauta

PAU 2021 sèrie 1 problema 1
Enunciat

Pauta

PAU 2021 sèrie 2 problema 1
Enunciat

Pauta

PAU 2021 sèrie 5 problema 1
Enunciat

Pauta

PAU 2020 sèrie 4 problema 1
Enunciat

Pauta

PAU 2020 sèrie 1 problema 3
Enunciat

Pauta

PAU 2020 sèrie 1 problema 6
Enunciat

Pauta

PAU 2020 sèrie 3 problema 3
Enunciat

Pauta

PAU 2020 sèrie 3 problema 6
Enunciat

Pauta

PAU 2019 sèrie 5 problema 2
Enunciat

Pauta

PAU 2019 sèrie 4 problema 2
Enunciat

Pauta

PAU 2019 sèrie 1 problema 2
Enunciat

Pauta

PAU 2018 sèrie 3 problema 1
Enunciat
Pauta
PAU 2018 sèrie 5 problema 1
Enunciat
Pauta

PAU 2018 sèrie 1 problema 2
Enunciat

Pauta

PAU 2017 sèrie 2 problema 1
Enunciat

Pauta

PAU 2017 sèrie 5 problema 1
Enunciat

Pauta

PAU 2017 sèrie 1 problema 1
Enunciat

Pauta

PAU 2016 sèrie 1 problema 1
Enunciat

Pauta

PAU 2016 sèrie 5 opció B problema 3
Enunciat

Pauta

PAU 2016 sèrie 5 opció A problema 3
Enunciat

Pauta

PAU 2016 sèrie 3 problema 1
Enunciat

Pauta

PAU 2015 sèrie 5 problema 1
Enunciat

Pauta

PAU 2015 sèrie 4 opció B problema 3
Enunciat

Pauta

PAU 2015 sèrie 4 opció A problema 3
Enunciat

Pauta

PAU 2015 sèrie 2 opció B problema 3
Enunciat

Pauta

PAU 2015 sèrie 2 opció A problema 3
Enunciat

Pauta

PAU 2014 sèrie 5 problema 1
Enunciat

Pauta

PAU 2014 sèrie 4 problema 1
Enunciat

Pauta

PAU 2014 sèrie 3 problema 1
Enunciat

Pauta

PAU 2013 sèrie 1 problema 1
Enunciat

Pauta

PAU 2013 sèrie 3 problema 1
Enunciat

Pauta

PAU 2013 sèrie 4 problema 1
Enunciat

Pauta

PAU 2012 sèrie 4 problema 1
Enunciat

Pauta

PAU 2012 sèrie 1 problema 1
Enunciat

Pauta

PAU 2012 sèrie 3 problema 1
Enunciat

Pauta

PAU 2011 sèrie 4 opció A problema 3
Enunciat

Pauta

PAU 2011 sèrie 1 problema 2
Enunciat

Pauta

PAU 2010 sèrie 5 problema 1
Enunciat

Pauta

PAU 2010 sèrie 2 problema 1
Enunciat

Pauta

PAU 2010 sèrie 4 problema 1
Enunciat

Pauta

PAU 2010 sèrie 1 opció B problema 5
Enunciat

Pauta

PAU 2010 sèrie 1 opció A problema 5
Enunciat

Pauta

PAU 2009 sèrie 1 problema 1
Enunciat

Pauta

PAU 2009 sèrie 4 opció B problema 2
Enunciat

Pauta

PAU 2009 sèrie 4 opció qüestió 4
Enunciat

Pauta

PAU 2009 sèrie 3 qüestió 1
Enunciat

Pauta

PAU 2009 sèrie 3 opció B qüestió 4
Enunciat

Pauta
1. C
2. A
PAU 2008 sèrie 2 problema 1
Enunciat

Pauta

PAU 2008 sèrie 2 opció B qüestió 3
Enunciat

Pauta
1. A
2. C
PAU 2008 sèrie 5 qüestió 1
Enunciat

Pauta

PAU 2008 sèrie 4 qüestió 2
Enunciat

Pauta

PAU 2007 sèrie 3 opció A problema 2
Enunciat

Pauta

PAU 2007 sèrie 2 problema 1
Enunciat

Pauta

PAU 2007 sèrie 1 opció B qüestió 4
Enunciat

Pauta
1. C
2. B
PAU 2006 sèrie 3 problema 1
Enunciat

Pauta

PAU 2006 sèrie 1 qüestió 1
Enunciat

Pauta

PAU 2006 sèrie 4 qüestió 2
Enunciat

Pauta

PAU 2005 sèrie 3 problema 1
Enunciat

Pauta

PAU 2005 sèrie 1 opció A problema 2
Enunciat

Pauta

PAU 2005 sèrie 4 qüestió 2
Enunciat

Pauta

PAU 2004 sèrie 5 opció B problema 2
Enunciat

Pauta

PAU 2004 sèrie 3 qüestió 1
Enunciat

Pauta

PAU 2004 sèrie 1 opció A qüestió 3
Enunciat

Pauta

PAU 2004 sèrie 4 qüestió 1
Enunciat

Pauta

PAU 2004 sèrie 5 opció A qüestió 3
Enunciat

Pauta

PAU 2004 sèrie 5 opció A qüestió 4
Enunciat

Pauta

PAU 2003 sèrie 3 opció A problema 2
Enunciat

Pauta

PAU 2003 sèrie 2 opció A problema 2
Enunciat

Pauta

PAU 2001 sèrie 4 opció B problema 2
Enunciat

Pauta
