PAU Física Catalunya (2001-2022)
Ones harmòniques
PAU 2022 sèrie 2 problema 3
Enunciat

Pauta

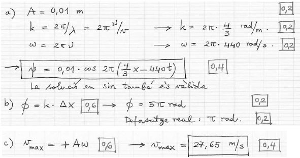
PAU 2019 sèrie 5 problema 1
Enunciat

Pauta

PAU 2017 sèrie 2 problema 2
Enunciat

Pauta

PAU 2017 sèrie 5 problema 2
Enunciat

Pauta

PAU 2017 sèrie 1 opció A problema 3
Enunciat

Pauta

PAU 2016 sèrie 1 opció B problema 3
Enunciat

Pauta

PAU 2012 sèrie 3 opció B problema 4
Enunciat

Pauta

PAU 2010 sèrie 4 opció A problema 3
Enunciat

Pauta

PAU 2010 sèrie 1 problema 2
Enunciat

Pauta

PAU 2009 sèrie 4 opció A problema 2
Enunciat

Pauta

PAU 2009 sèrie 3 qüestió 2
Enunciat

Pauta

PAU 2009 sèrie 1 opció B qüestió 3
Enunciat

Pauta
1. c
2. a
PAU 2008 sèrie 2 opció B qüestió 4
Enunciat

Pauta
1. b
2. c
PAU 2007 sèrie 3 opció B problema 2
Enunciat

Pauta

PAU 2007 sèrie 1 opció A problema 2
Enunciat

Pauta

PAU 2007 sèrie 2 opció A problema 2
Enunciat

Pauta

PAU 2007 sèrie 2 opció B qüestió 3
Enunciat

Pauta
1. c
2. c
PAU 2006 sèrie 4 opció A problema 2
Enunciat

Pauta

PAU 2006 sèrie 3 qüestió 2
Enunciat

Pauta

PAU 2005 sèrie 4 opció A problema 2
Enunciat

Pauta

PAU 2005 sèrie 1 opció B problema 2
Enunciat

Pauta

PAU 2005 sèrie 4 opció B qüestió 4
Enunciat

Pauta
1. c
2. b
3. c
4. a
5. c
PAU 2004 sèrie 1 qüestió 2
Enunciat

Pauta

PAU 2004 sèrie 5 opció B qüestió 3
Enunciat

Pauta

PAU 2003 sèrie 5 qüestió 2
Enunciat

Pauta

PAU 2002 sèrie 3 opció B qüestió 4
Enunciat

Pauta
![]()